Cours musique Ersu

De cinema-theatre
Aller à la navigation Aller à la recherche

Choix de morceau

Blackbird - The beatles

Paroles

Blackbird singing in the dead of night
Take these broken wings and learn to fly
All your life
You were only waiting for this moment to arise
Blackbird singing in the dead of night
Take these sunken eyes and learn to see
All your life
You were only waiting for this moment to be free
Blackbird, fly
Blackbird, fly
Into the light of the dark black night
Blackbird, fly
Blackbird, fly
Into the light of the dark black night
Blackbird singing in the dead of night
Take these broken wings and learn to fly
All your life
You were only waiting for this moment to arise
You were only waiting for this moment to arise
You were only waiting for this moment to arise

Original

Partition

Cours Ersu J1 007.jpg Cours Ersu J1 008.jpg

Kathys Song - Simon and Garfunkel

Cours de musique

J1 - cours du 20/01/2026

Accordage

Notes américaines

Cours Ersu J1 001.jpg

La consonance

L'accord majeur

Cours Ersu J1 002.jpg

La gamme majeure

Cours Ersu J1 003.jpg

Respiration

Vocalises

Cours Ersu J1 004.jpg

Construire une ligne de basse sur "Blackbird"

1 - jouer les notes fondamentales des accords
Notes sur le manche

Cours Ersu J1 005.jpg Cours Ersu J1 006.jpg

J2 - cours du 27/01/2026

Construire une ligne de basse sur "Blackbird"

2 - ajouter les tierces des accords
suppression des accords de passage et des renversements
avec accords de passage et renversements

Les tierces des accords diatoniques

Alternance majeur et mineur

Identifier les tierces des accords

Les tierces sur le manche

Tierces majeures (voisine, supérieure, inférieure)
Tierces mineures (voisine, supérieure, inférieure)
Tierces à l'octave supérieure
Tierces à l'octave inférieure (renversement : sixtes)
Le décalage de la 5e corde

Exercices

Ajouter les tierces en arpège
Ajouter les tierces en accord
Accords de tierces guitare + sarigama

La grille d'accord en notation standard

Revoir la gamme majeure (sarigama + guitare)

Voir la gamme mineure (sarigama + guitare)

Version ralentie avec métronome

Cours Ersu J2 001.jpg Cours Ersu J2 002.jpg Cours Ersu J2 003.jpg Cours Ersu J2 004.jpg

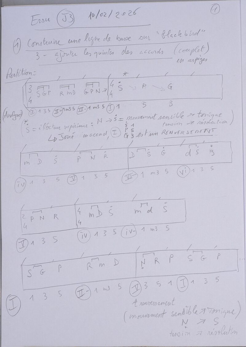
J3 - cours du 10/02/2026

Construire une ligne de basse sur "Blackbird"

2 - ajouter les quintes des accords

Cours Ersu J3 001.jpg Cours Ersu J3 002.jpg Cours Ersu J3 003.jpg Cours Ersu J3 004.jpg Cours Ersu J3 005.jpg